44 cost of living worksheet

Cost of Living Worksheet - Worksheet: Cost of Living... View Homework Help - Cost of Living Worksheet from RESEARCH AND CRITICAL THINKING 1700380 at Florida Virtual High School. Worksheet: Cost of Living Worksheet Your job: Sales Representative Average PDF Reality Check What does it cost to live on your own? Have the students multiply the monthly living costs by 12 to get annual living expenses. Post a few of the filled-in worksheets on the bulletin board if appropriate. A gentle reminder that, earning a good wage is required to live the good life. Assessment: Did the students get an understanding of what it costs to live on their own?

Cost of Living Calculator - Ramsey - Ramsey Solutions The data driving our Cost of Living Calculator comes from the Cost of Living Index, which is published quarterly by the Council for Community and Economic Research (C2ER). This index is recognized by the U.S. Census Bureau and the U.S. Bureau of Labor Statistics as legit—so we feel pretty confident in these numbers.

Cost of living worksheet

Cost of living worksheet

Cost Of Living Project Worksheets - K12 Workbook Cost Of Living Project. Displaying all worksheets related to - Cost Of Living Project. Worksheets are Life after cost of living lesson plan, Home building work, Lesson two living on your own, Lesson five living on your own, S134g essential living skills money management, Living on your own overheads, Client workbook, Real life budget i. The Cost Of Living Worksheets - Learny Kids The Cost Of Living. Displaying top 8 worksheets found for - The Cost Of Living. Some of the worksheets for this concept are Cost of living budget comparison work, E following work erences independent living cost, Cost of living work, A reality check what does it cost to live on your own, Cost of living, Retirement expense work, The real cost of ... Cost Of Living Teaching Resources | Teachers Pay Teachers Cost of living activity, worksheet, and lesson plan included in this digital pdf download. This includes a pdf download of This download includes discussion topics as a class or as a personal led activity. Printoff the ten different city location worksheets and place them around yourhouse or classroom to "explore" each city.

Cost of living worksheet. Personal monthly budget spreadsheet - templates.office.com Personal monthly budget spreadsheet. Streamline how you budget your income each month with this comprehensive budgeting template. With a personal budget template, budget management is so easy. Excel does the math so you can concentrate on your finances. This budget Excel template compares project and actual income and projected and actual expenses. Cost Of Living Worksheets - Learny Kids Cost Of Living. Displaying top 8 worksheets found for - Cost Of Living. Some of the worksheets for this concept are Cost of living work, Operating costs living expenses work, Cost of living, Life after cost of living lesson plan, The real cost of living, Monthly and annual spending plan work, Lesson two living on your own, Lesson five living on ... Quiz & Worksheet - Understanding Cost of Living | Study.com This quiz/worksheet combo will help test your understanding of the cost of living. Some of the information you'll be assessed on includes an explanation of the cost of living as well as the ... The Cost Of Living Worksheets - K12 Workbook Worksheets are Cost of living budget comparison work, E following work erences independent living cost, Cost of living work, A reality check what does it cost to live on your own, Cost of living, Retirement expense work, The real cost of living, Lesson 4. *Click on Open button to open and print to worksheet.

COLA (Cost-of-Living Adjustment) Change Worksheet COLA (Cost-of-Living Adjustment) Change Worksheet. By clicking on the link below, you'll be able to calculate how the pension reform legislation will affect YOU. The Excel worksheet uses the formulas developed by the We Are One coalition. Feel free to share this worksheet with colleagues or coworkers. Information on how to contribute to the ... Cost of Living Worksheet.docx - Cost of Living Objective:... Cost of Living Objective: Students will compare income to the cost-of-living in various geographical areas and the impact it has on purchasing power. Now that we have talked about the cost of living in class, it is your turn to do some research to see the impact that cost-of-living can have on purchasing power in different areas around the United States and the world. 5A Practice - Cost of living worksheet - StuDocu The average annual costs of living in California, New York, and Texas are displayed in the following table. State Average Annual Cost of Living. California (CA) $57, New York (NY) $60, Texas (TX) $40, Compute the ratio for the annual cost of living for each pair of states and reduce to unit ratios. (Round to the nearest hundredth.) Part A: CA to NY Cost of Living worksheet - Cost of Living Worksheet Your... - Course Hero Cost of Living Worksheet Your job: Sales Representative Average Salary: $36,000 annually / $3,000 monthly.Note: these are pre-tax amounts, so your take-home pay will be roughly $2,000 monthly.Based on your salary, what percentage of your monthly take-home pay will go to each of the following expenses? You will use $2,000 as your total take-home pay for the month.

PDF Cost of Living Worksheet - The Arlington Cost of Living Worksheet We invite you to calculate your current living expenses and then compare them to all you will receive from your one-time entrance fee and monthly service fee at The Arlington. Created Date: Cost Of Living Worksheets - K12 Workbook Worksheets are Cost of living work, Operating costs living expenses work, Cost of living, Life after cost of living lesson plan, The real cost of living, Monthly and annual spending plan work, Lesson two living on your own, Lesson five living on your own. *Click on Open button to open and print to worksheet. 1. Cost of Living Worksheet. 4.01 Cost of Living Worksheet - Cost of Living Worksheet... View Homework Help - 4.01 Cost of Living Worksheet from CAREER AND 3799 at Florida Virtual High School. Cost of Living Worksheet Your job: Sales Representative Average Salary: $36,000 annually / PDF COST OF LIVING WORKSHEET - Plymouth Place This simple worksheet will help you see for yourself. Please take a few minutes and fill it out by estimating your monthly living expenses. Then compare it to the monthly service fee at ... COST OF LIVING WORKSHEET $ $ $ $ $ $ $ $ $ $ $ $ $ $ $ $ $ $ $ $ $ $ $ $ $ $ $ $ $ $ Created Date:

Rate Information - Abbot Senior Living - Zanesville's Most ...

Rate Information - Abbot Senior Living - Zanesville's Most ...

PDF Operating Costs & Living Expenses Worksheet - Bmo OPERATING COSTS & LIVING EXPENSES WORKSHEET Add up the total costs from both tables, and see how the final figure compares to your monthly income. If there's ... Operating Costs Use this worksheet to itemize the costs that are directly related to running a home. Operating Expenses Current Monthly Cost Projected Monthly Cost

Cost of living crisis worksheet

Cost of living crisis worksheet

Cost of Senior Living Comparison Worksheet - umh.org Many people think that in-home care is a more affordable option than paying for assisted living. To better gauge your living expenses, we have created this free and easily accessible cost of senior living comparison worksheet. Take a few minutes and fill out the worksheet. Then, compare the costs of living at home to living in a UMH senior ...

Solved Monthly Spending and Cost of Living Directions ...

Solved Monthly Spending and Cost of Living Directions ...

Cost Of Living Teaching Resources | Teachers Pay Teachers Cost of living activity, worksheet, and lesson plan included in this digital pdf download. This includes a pdf download of This download includes discussion topics as a class or as a personal led activity. Printoff the ten different city location worksheets and place them around yourhouse or classroom to "explore" each city.

Cost Comparison: Kendal at Oberlin

Cost Comparison: Kendal at Oberlin

The Cost Of Living Worksheets - Learny Kids The Cost Of Living. Displaying top 8 worksheets found for - The Cost Of Living. Some of the worksheets for this concept are Cost of living budget comparison work, E following work erences independent living cost, Cost of living work, A reality check what does it cost to live on your own, Cost of living, Retirement expense work, The real cost of ...

Cost Comparison Worksheet | Meadow Brook Senior Living ...

Cost Comparison Worksheet | Meadow Brook Senior Living ...

Cost Of Living Project Worksheets - K12 Workbook Cost Of Living Project. Displaying all worksheets related to - Cost Of Living Project. Worksheets are Life after cost of living lesson plan, Home building work, Lesson two living on your own, Lesson five living on your own, S134g essential living skills money management, Living on your own overheads, Client workbook, Real life budget i.

Pickaway Manor - An Optalis Health & Rehabilitation Center ...

Pickaway Manor - An Optalis Health & Rehabilitation Center ...

How to calculate your Living Room Makeover Budget • IQ Design

How to calculate your Living Room Makeover Budget • IQ Design

Cost of Living Calculator (1/2)

Cost of Living Calculator (1/2)

Printable Monthly Budget Worksheet

Printable Monthly Budget Worksheet

Cost of Living Worksheet - PDF Free Download

Cost of Living Worksheet - PDF Free Download

COST VALUE PRICE WORTH - ESL worksheet by jennybohmes

COST VALUE PRICE WORTH - ESL worksheet by jennybohmes

Cost Comparison Worksheet - Landmark Memory Care - Denver ...

Cost Comparison Worksheet - Landmark Memory Care - Denver ...

Solved Worksheet 49: ONE-WAY ANOVA: II RIDDLE: What's a ...

Solved Worksheet 49: ONE-WAY ANOVA: II RIDDLE: What's a ...

OPERATING COSTS & LIVING EXPENSES WORKSHEET

OPERATING COSTS & LIVING EXPENSES WORKSHEET

Monthly Living Expenses Spreadsheet : Help save now, this ...

Monthly Living Expenses Spreadsheet : Help save now, this ...

Cost Worksheet | Assisted living at its finest

Cost Worksheet | Assisted living at its finest

Cost Of Living Worksheet - Fill and Sign Printable Template ...

Cost Of Living Worksheet - Fill and Sign Printable Template ...

Cost of Living Test: Word doc to Individualize

Cost of Living Test: Word doc to Individualize

Planning for the Future: Budgeting & Cost of Living

Planning for the Future: Budgeting & Cost of Living

Economic Management Science - South African Family Budget

Economic Management Science - South African Family Budget

Additional Living Expense Checklist | Wheeler, DiUlio, & Barnabei

Additional Living Expense Checklist | Wheeler, DiUlio, & Barnabei

Excel formula: Cost of living adjustment | Exceljet

Excel formula: Cost of living adjustment | Exceljet

Apartment Budgeting Tips for First Time Renters [Budget ...

Apartment Budgeting Tips for First Time Renters [Budget ...

living on one dollar movie worksheet - ESL worksheet by ...

living on one dollar movie worksheet - ESL worksheet by ...

Senior Cost of Living Comparison Chart | Welcome Home

Senior Cost of Living Comparison Chart | Welcome Home

For this assignment, you will create a budget using the Cost ...

For this assignment, you will create a budget using the Cost ...

50 Money Management Worksheets [Excel, Word, PDF ...

50 Money Management Worksheets [Excel, Word, PDF ...

Cost of Living Worksheet

Cost of Living Worksheet

Cost Calcuator Worksheet | Traditions Management ...

Cost Calcuator Worksheet | Traditions Management ...

Rising Cost Of Living & Owning A House | Q&A Session # 14 by WALI KHAN

Rising Cost Of Living & Owning A House | Q&A Session # 14 by WALI KHAN

COMPARE YOUR LIVING EXPENSES

COMPARE YOUR LIVING EXPENSES

Solved Ch 3 Review Worksheet Due 9 1. The website Numbeo.com ...

Solved Ch 3 Review Worksheet Due 9 1. The website Numbeo.com ...

Cost of Living Crisis | Teaching Resources

Cost of Living Crisis | Teaching Resources

Monthly Budget Spreadsheet for Excel

Monthly Budget Spreadsheet for Excel

NYC True Cost of Living: Budget Worksheet - FCNY

NYC True Cost of Living: Budget Worksheet - FCNY

🦪 Monthly Living Expenses | How Much To Budget

🦪 Monthly Living Expenses | How Much To Budget

Grade 8 - 8e - the passive with reporting verbs worksheet

Grade 8 - 8e - the passive with reporting verbs worksheet

Money vocabulary interactive worksheet

Money vocabulary interactive worksheet

Budgeting Percentage Guidelines for Living Expenses | How ...

Budgeting Percentage Guidelines for Living Expenses | How ...

1960's Cost of Living by Leah Grabowski

1960's Cost of Living by Leah Grabowski

City life vs country life worksheet

City life vs country life worksheet

Budget Worksheet

Budget Worksheet

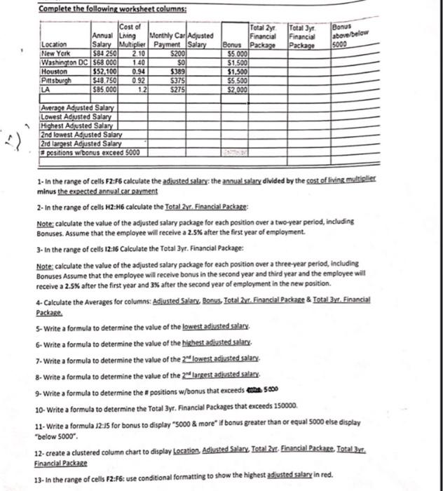
Solved Complete the following worksheet columns Cost of ...

Solved Complete the following worksheet columns Cost of ...

Assisted Living vs In-Home Care Cost Comparison

Assisted Living vs In-Home Care Cost Comparison

0 Response to "44 cost of living worksheet"

Post a Comment

Iklan Atas Artikel

Iklan Tengah Artikel 1

Iklan Tengah Artikel 2

Iklan Bawah Artikel