44 empirical and molecular formulas worksheet

Success Essays - Assisting students with assignments online Success Essays essays are NOT intended to be forwarded as finalized work as it is only strictly meant to be used for research and study purposes. Lifestyle | Daily Life | News | The Sydney Morning Herald The latest Lifestyle | Daily Life news, tips, opinion and advice from The Sydney Morning Herald covering life and relationships, beauty, fashion, health & wellbeing

5.5: Writing Formulas for Ionic Compounds - Chemistry LibreTexts 25.09.2022 · An ionic formula, like \(\ce{NaCl}\), is an empirical formula. This formula merely indicates that sodium chloride is made of an equal number of sodium and chloride ions. Sodium sulfide, another ionic compound, has the formula \(\ce{Na_2S}\). This formula indicates that this compound is made up of twice as many sodium ions as sulfide ions. This section will teach you …

Empirical and molecular formulas worksheet

Empirical and molecular formulas worksheet

Join LiveJournal Password requirements: 6 to 30 characters long; ASCII characters only (characters found on a standard US keyboard); must contain at least 4 different symbols; Understanding Compound Interest: Worksheets and Guides 16.09.2019 · Compound Interest Worksheet #5 . The final compound interest worksheet provides a comprehensive look at applying the compound interest formula to just about any scenario, with principal sums of many sizes and varied interest rates to consider.. With these core concepts in mind, investors and loan recipients alike can capitalize on their understanding of … AP Biology – AP Students | College Board This reference guide helps you develop quantitative skills, such as using measurements, gathering and evaluating data, using quantitative evidence to support claims, and connecting empirical information to scientific theory, throughout the course.

Empirical and molecular formulas worksheet. List of Chapter Wise Chemistry Formulas | Physics Wallah Empirical formulas are usually obtained from the analysis of experimental data. The empirical formula for glucose is CH 2 O. Empirical formulas will be derived from the molecular formulas. Structural formula- The structural formula of a chemical compound provides insight into the arrangement of the atoms within the molecule. Worksheet #8 Empirical Formulas H O N O 4I - University of Florida Worksheet #8 Empirical Formulas 1. State the empirical formula for each of the following compounds: a) C 4H8; b) C 2H6O2; c) N2O5; d) Ba 3(PO 4)2; e) Te 4I16 2. What is the empirical formula for a compound that contains 0.063 mol chlorine and 0.22 mol oxygen? 3. What is the empirical formula for a compound that contains 26.1% carbon, 4.3% hydrogen Topic 1 Stoichiometric relationships - MSJChem T he empirical formula and molecular formula of a compound give the simplest ratio and the actual number of atoms present in a molecule respectively. Applications and skills: Deter m ination of the molecular formula of a compound from its empirical formula and molar mass. Empirical and molecular formula worksheet. 1.2 Calculating percentage composition by … Empirical and Molecular Formula Worksheet - [PDF Document] Oct 10, 2015 · 4. If the molar mass of the compound in problem 3 is 73.8 grams/mole, whats the molecular formula? Write the molecular formulas of the following compounds: 5. A compound with an empirical formula of C2OH4 and a molar mass of 88 grams per mole. 6. A compound with an empirical formula of C4H4O and a molar mass of 136 grams per mole.

Lecture Notes - Mineralogy - Calculating Mineral Formulas Simple vs. True. Simple vs. True. Calculating Empirical and Molecular Formulas. Calculating Empirical and Molecular Formulas Formula writing is a key component for success in chemistry. How do scientists really know what the true formula for a compound might be? In this lesson we . More information Molecular Formula Practice Test Questions - ThoughtCo Aug 01, 2019 · The molecular formula of a compound is a representation of the number and type of elements present in one molecular unit of the compound. This 10-question practice test deals with finding the molecular formula of chemical compounds. A periodic table will be required to complete this test. Answers appear after the final question. AP Biology – AP Students | College Board This reference guide helps you develop quantitative skills, such as using measurements, gathering and evaluating data, using quantitative evidence to support claims, and connecting empirical information to scientific theory, throughout the course. Understanding Compound Interest: Worksheets and Guides 16.09.2019 · Compound Interest Worksheet #5 . The final compound interest worksheet provides a comprehensive look at applying the compound interest formula to just about any scenario, with principal sums of many sizes and varied interest rates to consider.. With these core concepts in mind, investors and loan recipients alike can capitalize on their understanding of …

Join LiveJournal Password requirements: 6 to 30 characters long; ASCII characters only (characters found on a standard US keyboard); must contain at least 4 different symbols;

Molar mass and percent composition activity answer key ...

Molar mass and percent composition activity answer key ...

Percent Composition and Molecular Formula Worksheet

Percent Composition and Molecular Formula Worksheet

Molar Mass, Percent Composition, Empirical & Molecular ...

Molar Mass, Percent Composition, Empirical & Molecular ...

EMPIRICAL FORMULA WORKSHEET A | Teaching Resources

EMPIRICAL FORMULA WORKSHEET A | Teaching Resources

Molecular Formula Worksheet

Molecular Formula Worksheet

Empirical and Molecular Formula Worksheet | PDF | Mole (Unit ...

Empirical and Molecular Formula Worksheet | PDF | Mole (Unit ...

Empirical Formula Lesson Plans & Worksheets Reviewed by Teachers

Empirical Formula Lesson Plans & Worksheets Reviewed by Teachers

Empirical formula activity | Chemistry worksheets, Teaching ...

Empirical formula activity | Chemistry worksheets, Teaching ...

Solved! Percent Composition and Molecular Formula Worksheet I ...

Solved! Percent Composition and Molecular Formula Worksheet I ...

Grade 10,Empirical and molecular formula worksheet

Grade 10,Empirical and molecular formula worksheet

Empirical Formula and Molecular Formula Calculations ...

Empirical Formula and Molecular Formula Calculations ...

Comp empirical and molecular worksheet -answer key - ENGL4870 ...

Comp empirical and molecular worksheet -answer key - ENGL4870 ...

Percent Comp, Empirical Formulas, and Molecular Formulas Homework Worksheet

Percent Comp, Empirical Formulas, and Molecular Formulas Homework Worksheet

Worksheet 9.6 Empirical And Molecular Formula

Worksheet 9.6 Empirical And Molecular Formula

Worksheet: Molecular Formulas and Hydrates Name______________ ...

Worksheet: Molecular Formulas and Hydrates Name______________ ...

Solved Empirical/Molecular Formula Practice Worksheet | Chegg.com

Solved Empirical/Molecular Formula Practice Worksheet | Chegg.com

Solved Empirical/Molecular Formula Practice Worksheet | Chegg.com

Solved Empirical/Molecular Formula Practice Worksheet | Chegg.com

Untitled

Untitled

Solved Empirical and Molecular Formulas Worksheet | Chegg.com

Solved Empirical and Molecular Formulas Worksheet | Chegg.com

topic-6-Emperical and Molecular Formula Worksheet-cglass | St ...

topic-6-Emperical and Molecular Formula Worksheet-cglass | St ...

EMPIRICAL AND MOLECULAR FORMULA WORKSHEET WITH ANSWERS ...

EMPIRICAL AND MOLECULAR FORMULA WORKSHEET WITH ANSWERS ...

Empirical Formulas practice worksheet

Empirical Formulas practice worksheet

Empirical and Molecular Formula Sheet Worksheet for 10th ...

Empirical and Molecular Formula Sheet Worksheet for 10th ...

Chapter 8 Empirical and Molecular Formulas Worksheet 1 Key ...

Chapter 8 Empirical and Molecular Formulas Worksheet 1 Key ...

Mole Assign & Key #2 -

Mole Assign & Key #2 -

Chemistry – Unit 5 Worksheet 3

Chemistry – Unit 5 Worksheet 3

Worksheet 9.6 Empirical And Molecular Formula

Worksheet 9.6 Empirical And Molecular Formula

Empirical and Molecular Formulas Worksheet

Empirical and Molecular Formulas Worksheet

Empirical and Molecular Formula Worksheet - Write the ...

Empirical and Molecular Formula Worksheet - Write the ...

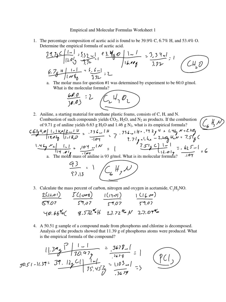
Empirical and Molecular Formulas Worksheet 1 1. The percentage

Empirical and Molecular Formulas Worksheet 1 1. The percentage

4.3: Empirical and Molecular Formulas (Problems) - Chemistry ...

4.3: Empirical and Molecular Formulas (Problems) - Chemistry ...

Unit 5 WS 3 Empirical and Molecular Formulas (1).doc - Name ...

Unit 5 WS 3 Empirical and Molecular Formulas (1).doc - Name ...

Empirical and Molecular Formula Worksheet

Empirical and Molecular Formula Worksheet

Daniel Davis: January 2009 Archives

Daniel Davis: January 2009 Archives

Percent Composition and Molecular Formula Worksheet

Percent Composition and Molecular Formula Worksheet

Empirical and Molecular Formula Complete Lesson - Notes, Worksheet, Quiz

Empirical and Molecular Formula Complete Lesson - Notes, Worksheet, Quiz

Empirical and Molecular Formulas Worksheet Solution - 1 ...

Empirical and Molecular Formulas Worksheet Solution - 1 ...

Determining Empirical & Molecular Formulas

Determining Empirical & Molecular Formulas

Untitled

Untitled

Empirical & Molecular Formulas Worksheet Key - ppt download

Empirical & Molecular Formulas Worksheet Key - ppt download

Haley's Chemistry Blog: Empirical and Molecular Formulas Practice

Haley's Chemistry Blog: Empirical and Molecular Formulas Practice

Empirical and Molecular Formula | Chemistry worksheets ...

Empirical and Molecular Formula | Chemistry worksheets ...

Lab Safety: Empirical and molecular formulas

Lab Safety: Empirical and molecular formulas

Empirical and Molecular Formula Worksheet | PDF | Mole (Unit ...

Empirical and Molecular Formula Worksheet | PDF | Mole (Unit ...

0 Response to "44 empirical and molecular formulas worksheet"

Post a Comment

Iklan Atas Artikel

Iklan Tengah Artikel 1

Iklan Tengah Artikel 2

Iklan Bawah Artikel