38 fourier analysis excel worksheet

Fourier Analysis, Series: Definition, Steps in Excel - Calculus How To The Fourier analysis Excel tool has a couple of limitations: The maximum number of points is 4,096 The data points must be in powers of two. In other words, you can only enter 2,4,8,16,32,64,128…4,096 numbers. PDF Dory Spreadsheet A ftr) Fourier Analysis Using Fourier Analysis Using A Spreadsheet Robert A. Dory and Jeffrey H. Harris F or many tasks involving Fourier analysis, a spread- sheet is an excellent tool. Using examples, this ... 50, Excel mgnizes that the basis data do not need to be recalculated when changes are made only to test data fix, ).

techcommunity.microsoft.com › t5 › excelExcel - techcommunity.microsoft.com Mar 11, 2021 · Excel - formulas data worksheet 13; Tables 12; ... Calculate Fourier Series coefficients using excel 1; Meetings 1; View 1; ... Data for Excel Analysis 1;

Fourier analysis excel worksheet

Fourier analysis excel worksheet

PDF Spectral Analysis Using Excel Spectral Analysis Using Excel P. Tran John Tyler Community College. Overview Calculating Fourier transform using Excel. Spectral analysis of sound from a guitar. Applications of Fourier Transform Signal processing Quantum mechanics: solving the time-dependent Schrödinger equation. Fourier Sheets | Excel | Mathematics | Data Processing | Matlab and ... Data Entry & Excel Projects for $30 - $250. ... I require a spreadsheet or worksheet, which calculates the Fourier transform of a list of data as a function of time, which graphs the frequencies and then calculates the inverse transform and decomposes the signals into several signals and graphs them, to find their [login to view URL] to 2500 ... PDF The Fourier Analysis Tool in Microsoft Excel ABSTRACT AND INTRODUCTION To do this operation, we open the Tools>Data Analysis>Fourier Analysis dialog (Data Analysis functionality must be installed in Excel), indicate whether it is the forward or inverse transform we want to perform, and identify the suite of source data as a range. We then indicate where we want the output data deposited.

Fourier analysis excel worksheet. Discrete Fourier Transform with a spreadsheet - fun[2] = {Soft,Firm} Discrete Fourier Transform with a spreadsheet - fun [2] = {Soft,Firm} Discrete Fourier Transform with a spreadsheet DFT and IDFT Here is a simple example of Discrete Fourier Transform (DFT) and Inverse DFT (IDFT) implemented in Google Sheets or Microsoft Excel for educational purposes, no special library nor VBA is required. dft-example Download Manual Calculation/Formulas for Excel Fourier Analysis A fast Fourier transform (FFT) is an algorithm that computes the discrete Fourier transform (DFT) of a sequence, or its inverse (IDFT). Fourier analysis converts a signal from its original domain (often time or space) to a representation in the frequency domain and vice versa. The DFT is obtained by decomposing a sequence of values into ... Fourier Analysis - Cannot modify protected sheet - Microsoft Community Answer A. User Replied on January 17, 2019 Hi. I get the same results. One work-around might be to have the output of Fourier go to a "New Worksheet". Then, copy / paste results into the unlocked cells. Report abuse 2 people found this reply helpful · Was this reply helpful? Yes No The Fourier Analysis Tool in Microsoft Excel - Academia.edu Operation To do this operation, we open the Tools>Data Analysis>Fourier Analysis dialog (Data Analysis functionality must be installed in Excel), indicate whether it is the forward or inverse transform we want to perform, and identify the suite of source data as a range. We then indicate where we want the output data deposited.

spreadsheeto.com › analysis-toolpakHow To Add The Analysis ToolPak in Excel [Step-by-Step Guide] 7. Fourier Analysis. The Fourier Analysis tool breaks down a harmonic series into its most basic components using sinusoidal functions and analyzes the periodic data. 8. Histogram. A Histogram represents the distribution of numerical data. Using EXCEL Spreadsheets to Evaluate the Fourier Series of a Function The first step is to tabulate the sample points in the spatial interval. These will be the points at which the terms of the Fourier Series of f(x) will be evaluated. Subdivide the interval [0, 1] into N+1 equally-spaced sample points a distance Δx apart. In a blank EXCEL spreadsheet, enter the sample points along a row, as shown below. For ... Using Excel for discrete Fourier transforms Things to watch out for when using Excel FFT for typical spectral analysis needs: The FFT's processing gain is not corrected by Excel. Values should be divided by N/2 (i.e. one half the FFT size) to get the actual magnitudes The results are the full N point FFT, if the input data is real-only you're probably only interested in the first N/2 points. PDF Fourier analysis excel worksheet - Weebly Fourier in Excel Click and swipe on the spreadsheet to highlight the data you want to analyze. Fourier analyzes excel worksheet. In the table above each cell would contain a complex number. The excel analysis tool the microsoft excel spreadsheet application will take a sequence of data and calculate its discrete furnace transform dft or vice versa.

How to do a Fast Fourier Transform (FFT) in Microsoft Excel Enable the ToolPak if you have not already done so. Click the "Office" button, and then choose "Options." Click "Add-In Options," highlight "Analysis ToolPak," and press "Go." Highlight "Analysis ToolPak" a second time, and then press the "OK" button. A Fast Fourier Transform, or FFT, is the simplest way to distinguish the frequencies of a signal. Best Excel Tutorial - How to Do Fourier Analysis in Excel Click in the "Output Range" box and then click and drag on the spreadsheet where you want the analysis to appear. Click OK. Click and drag on the spreadsheet to select the column or row where your Fourier analysis appeared. Click on the "Insert" tab, click "Scatter" and choose "Scatter with Smooth Lines." How to Graph Fourier Series in Excel | Your Business Step 1. Activate the Excel Analysis ToolPak if it is not already activated. Click "File | Options | Add-Ins." Click the "Analysis ToolPak" entry if it is in the "Inactive Application Add-Ins" list. Click "Go," tick the check box next to "Analysis ToolPak," and then click "OK." PDF Fast Fourier Transform Tutorial - San Diego State University Select Cell E2 and access Fourier Analysis by click Data/Data Analysis and select Fourier Analysis. Excel will prompt you with Fourier Analysis dialog box, in which you must enter the following information: • Input Range: select the range where the signal data is stored. The number of cells must be 2 n number of samples.

Fourier Analysis Excel Worksheet

Fourier Analysis Excel Worksheet

How To Evaluate A Fourier Series In Excel | Microsoft Excel Tips ... Choose "Fourier Analysis" and click "OK." A dialog box will appear with options for the analysis. Click in the "Input Range" box in the dialog that appears. Click and drag on the spreadsheet to highlight the data you want to analyze. Click in the "Output Range" box and then click and drag on the spreadsheet where you want the analysis to appear.

math - Fourier Transform help - Electrical Engineering Stack Exchange

math - Fourier Transform help - Electrical Engineering Stack Exchange

Fourier analysis - Microsoft Community Fourier analysis. I am looking for an Excel 2016 example on how to use Fourier Analysis for decomposing a signal into its components. I prefer to have an excel workbook. I found some videos on Google. but it was not clear to me how to use the inverse discrete Fourier transfer (IDFT) to get the signal's component.

Range of data formula — how to find the range of a data

Range of data formula — how to find the range of a data

PDF How to fourier transform in excel Discussion Excel provides a Fourier Analysis tool as part of the Analysis ToolPak. This tool allows you to perform discrete Fourier transforms and inverse transforms directly in your spreadsheet. Once your data is transformed, you can manipulate it in either the frequency domain or time domain, as you see fit. Consider the time series shown in ...

Fast Fourier transform - Book chapter - IOPscience

Fast Fourier transform - Book chapter - IOPscience

› indexKey Features by Version - Origin Excel Like Formula Bar Mask tool Support for 3D Graphs Data Highlighter support for 3D Graphs Object Manager: Reverse Plot Order for Graph, Select Multiple Sheets for Workbook Replace Plot X or Y with Column from Other Worksheet More Plot-type Options for Insert > Plot to Layer Mini Toolbar for Easy 2D Graph and Worksheet/Matrix Customization

Solved: 5. In This Question, You Are Required To Use The M... | Chegg.com

Solved: 5. In This Question, You Are Required To Use The M... | Chegg.com

support.microsoft.com › en-us › officeUse the Analysis ToolPak to perform complex data analysis When you perform data analysis on grouped worksheets, results will appear on the first worksheet and empty formatted tables will appear on the remaining worksheets. To perform data analysis on the remainder of the worksheets, recalculate the analysis tool for each worksheet. The Analysis ToolPak includes the tools described in the following ...

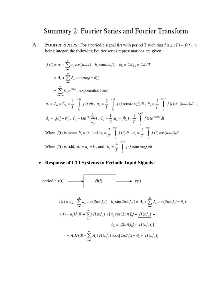
Formula Sheet Fourier Transform and Series

Formula Sheet Fourier Transform and Series

Fourier analysis using Excel - BrainMass The data so obtained is given in column B of the accompanying Excel worksheet (see attached). This worksheet has been set up to give a graph showing the spectral components of the data. Question 3 i) Obtain the Fourier Transform for the data using the Fourier Analysis tool of Excel. The transformed data should commence in cell D2.

fourier transform table draft | Mathematics, Transformations, Fourier ...

fourier transform table draft | Mathematics, Transformations, Fourier ...

Fourier Transform Excel Spreadsheet - Google Groups Fourier transform data column. First and foremost open a blank spreadsheet and then follow the following titles to the first cells in column A, in what follows we will use the term cancellation...

Learn Data Analysis for Excel in 2.5 Hours, Part 3: AKA –

Learn Data Analysis for Excel in 2.5 Hours, Part 3: AKA – "Everything ...

XLS Discrete Fourier Transform - Engineers-Excel.com Discrete Fourier Transform Subject: Spectrum analysis of functions Author: Nitin Mehta Last modified by: Nitin Created Date: 10/14/1996 11:33:28 PM Company: Engineers-Excel.com Other titles:

Solved: Please Use A Table Of Fourier Transforms To Answer... | Chegg.com

Solved: Please Use A Table Of Fourier Transforms To Answer... | Chegg.com

support.ptc.com › help › mathcadPTC Mathcad Help This Help Center provides information about the capabilities and features of PTC Mathcad Prime.Browse or search the Help topics to find the latest updates, practical examples, tutorials, and reference material.

Complex Numbers in VBA | Pfadintegral dotCom

Complex Numbers in VBA | Pfadintegral dotCom

Fourier Analysis (FFT) in Excel - YouTube How to perform fourier analysis in Excel and create a simple scatter plot showing FFT results.

Fourier analysis using Excel

Fourier analysis using Excel

smallbusiness.chron.com › run-multivariateHow to Run a Multivariate Regression in Excel - Chron.com Feb 21, 2019 · The data analysis functions in the Analysis ToolPak only operate in one worksheet out of an Excel document. Look on the first of a set of grouped worksheets for your results.

Solved: 1. Use The Common Fourier Series Table Uploaded To... | Chegg.com

Solved: 1. Use The Common Fourier Series Table Uploaded To... | Chegg.com

blogs.epfl.ch › pvdf › documentsThe Excel FFT Function - EPFL The Excel data analysis package has a Fourier analysis routine which calculates the complex coefficients, , from the time series data, . ... The Excel function is not well documented, but it is straightforward to use. This note describes the Excel worksheet, Fourier_example.xls, which is in the Physics 401 web site under Tutorials and Lectures ...

Learn About Formulas You Can Use in Excel in Conjunction with the ...

Learn About Formulas You Can Use in Excel in Conjunction with the ...

Performing and interpreting a Fourier Transform with the Excel Data ... Here are the formulas I used (I used the FFT function in the data analysis A description of what I did is as follows: I wrote input values 1 to 64, From each of those values I computed 3 cosine functions using Cosine (Input*3), Cosine (Input*4), Cosine (Input*5) I added all of the values together I ran the Fourier analysis tool on the values

Fourier analysis using Excel

Fourier analysis using Excel

Crunching FFTs with Microsoft Excel | Maxim Integrated The major drawback of using Microsoft Excel to perform Fourier analysis: ADC data record is limited to 4096 data points.¹ Another shortcoming of the Crunching FFTs spreadsheet is that it requires coherent sampling. See Maxim's application note 3190 "Coherent Sampling Calculator (CSC)" for more information.²

30 Fourier Analysis Excel Worksheet - support worksheet

30 Fourier Analysis Excel Worksheet - support worksheet

PDF INVERSE PROBLEMS NEWSLETTER - IOPscience To offer examples of spectrum analysis with the Fourier transform (FT), a notebook PC was used to acquire and analyze sound data. With the built-in FT routine of ... EXCEL sheet completing frequency step.Note: if average values of a stereo sound signal are in column D, the frequency step will be in column E and the FT will be in column F. ...

Solved: Basic Fourier Transform Pairs Derive All Fourier T... | Chegg.com

Solved: Basic Fourier Transform Pairs Derive All Fourier T... | Chegg.com

Fourier in Excel - brain mapping To use the Fourier functions, you must first enable the Analysis ToolPack. From the Tools menu, select "Add-Ins..." then check the Analysis Toolpack and click 'OK' This adds a 'Data Analysis...' item to the Tools menu. If you then select: 'Tools->Data Analysis...'you will get a little list of functions.

How to Install the Excel 2007 Analysis ToolPak - dummies

How to Install the Excel 2007 Analysis ToolPak - dummies

PDF The Fourier Analysis Tool in Microsoft Excel ABSTRACT AND INTRODUCTION To do this operation, we open the Tools>Data Analysis>Fourier Analysis dialog (Data Analysis functionality must be installed in Excel), indicate whether it is the forward or inverse transform we want to perform, and identify the suite of source data as a range. We then indicate where we want the output data deposited.

0 Response to "38 fourier analysis excel worksheet"

Post a Comment

Iklan Atas Artikel

Iklan Tengah Artikel 1

Iklan Tengah Artikel 2

Iklan Bawah Artikel